科研成果
熊伟博士在非互易纠缠上取得新进展
来源:3044永利 浏览人数: 发布时间:2023-09-27
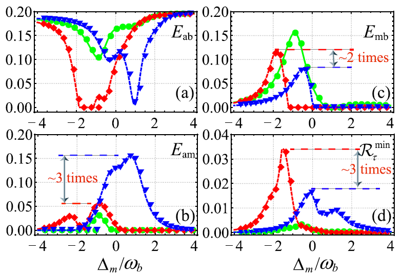
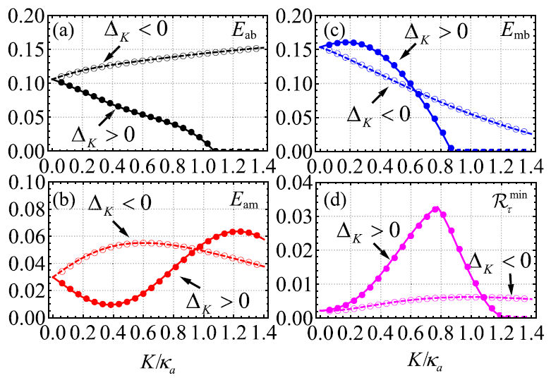
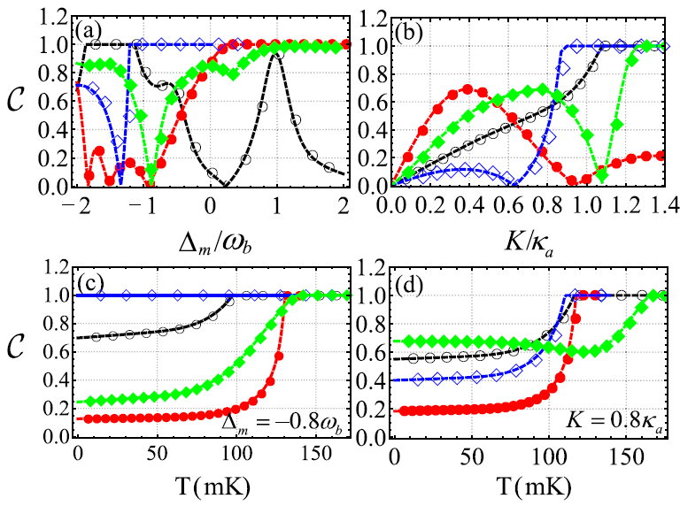
非互易性(nonreciprocity)是指一个系统或装置在不同的输入或操作方向下表现出不同的行为或响应的特性。在物理学、电子工程和光学等领域中,非互易性是一个重要的概念,比如电路元件二极管就是个典型的非互易器件。在量子信息中,量子纠缠是个非常重要的量子资源。然而量子纠缠制备过程中总是受环境噪声影响,从而使得量子纠缠失真。幸运的是,非互易性可以很好的保护量子纠缠。为此,公司熊伟博士与安徽大学陈姣姣博士,叶柳教授合作,提出在混合的腔-磁光力系统中,利用磁振子的非线性(Kerr)效应来实现非互易的两体和三体量子纠缠。


该非互易性是基于磁振子非线性系数依赖于磁振子的偏置磁场方向与其晶轴方向的夹角。通过进一步研究双向对比度,非互易特性可以被随意的开和关,并且还可以通过调控环境温度来实现。


本工作不仅提供了实现非互易纠缠的另一条潜在途径,还为在腔-磁光力系统中实现多样性非互易器件开辟了新的方向。该工作以题为《Nonreciprocal entanglement in cavity-magnon optomechanics》发表在国际物理一流期刊Phys. Rev. B上,安徽大学陈姣姣博士为第一作者,3044永利熊伟博士和安徽大学叶柳教授为共同通讯作者。该工作得到了国家自然科学基金资助。
详情请见:https://journals.aps.org/prb/abstract/10.1103/PhysRevB.108.024105.




