科研成果
熊伟博士在超辐射量子相变上取得新进展
来源:3044永利 浏览人数: 发布时间:2023-09-27
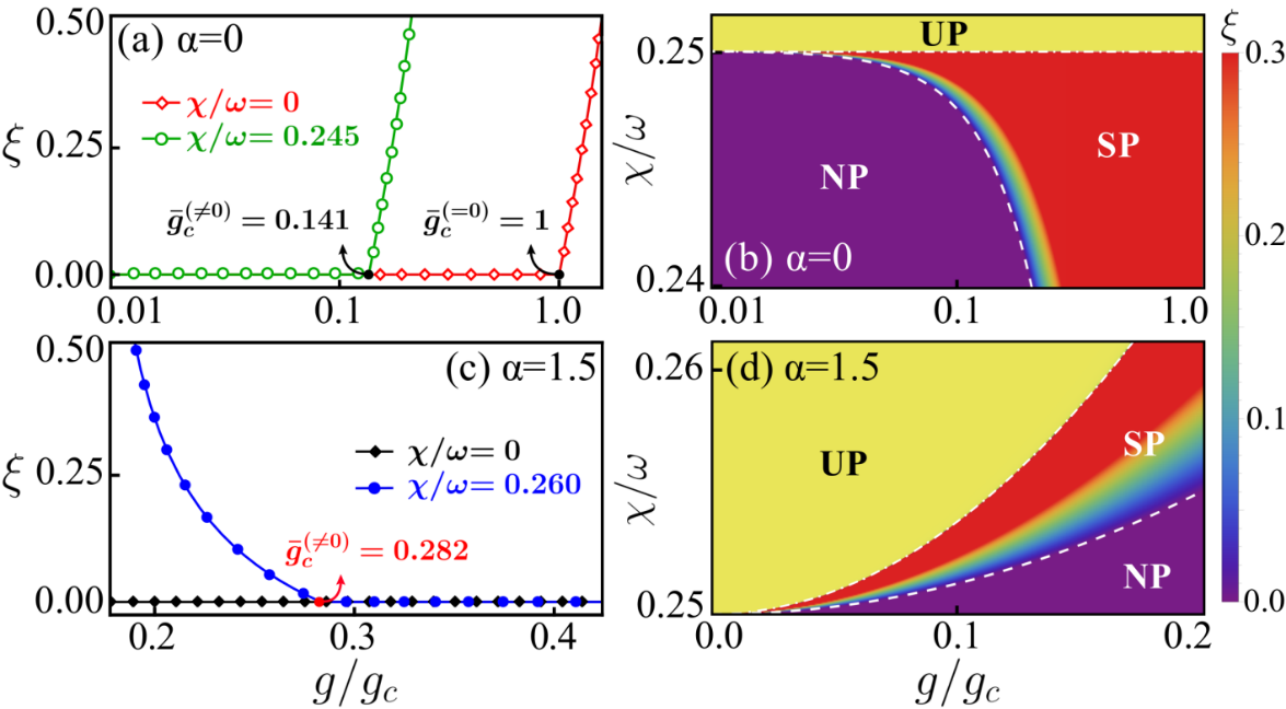
超辐射量子相变是指量子系统的基态能量随着系统参数发生突变的现象。该现象的研究有助于探讨量子系统的临界行为。然后由于库伦规范的选择,腔量子电动力学中会出现电磁矢势的平方项,即项,从而导致超辐射相变无法被观测。

为了克服这一科学问题, 我们提出利用非线性腔-磁系统来重现超辐射相变。
我们发现非线性磁子可以等效地引入一个额外的项。 通过调控非线性系数,原有的项可以被消弱甚至抵消。即使在没有项的情况下,引入的效应也可以显著降低超辐射相变的临界耦合强度,并实现超辐射相变。我们的工作将非线性腔磁和腔量子电动力学结合起来,为有项量子系统的超辐射相变提供了潜在的途径。

该工作以题为《Switchable superradiant phase transition with Kerr magnons, Phys. Rev. A 108, 033704 (2023)》发表在理论物理国际一流期刊Phy. Rev. A上。兰州大学博士刘刚(3044永利集团物理系2016级硕士研究生)为第一作者,3044永利熊伟博士和兰州大学应祖建研究员为论文共同通讯作者。此项研究得到了国家自然科学基金和安徽省自然科学重点项目等项目的支持。
论文链接:https://doi.org/10.1103/PhysRevA.108.033704




