3044永利动态
公司熊伟课题组在非互易器件上取得新进展
来源:3044永利 浏览人数: 发布时间:2024-07-02
熊伟,博士,3044永利副教授,物理系主任,研究方向为固态量子光学,主要聚焦在腔光力和磁子学中的强耦合、非线性以及非厄米效应。至今,已在国际主流期刊Phys. Rev. A, Phys. Rev. B, New Journal of Physics, Optics Express上发表SCI论文40+,总引用1000+。主持国家自然科学基金青年项目、中国博士后基金、浙江省自然科学基金(一般/探索)各1项,担任Phys. Rev. Lett., Phys. Rev. A, Phys. Rev. B等10多个期刊的评审专家。
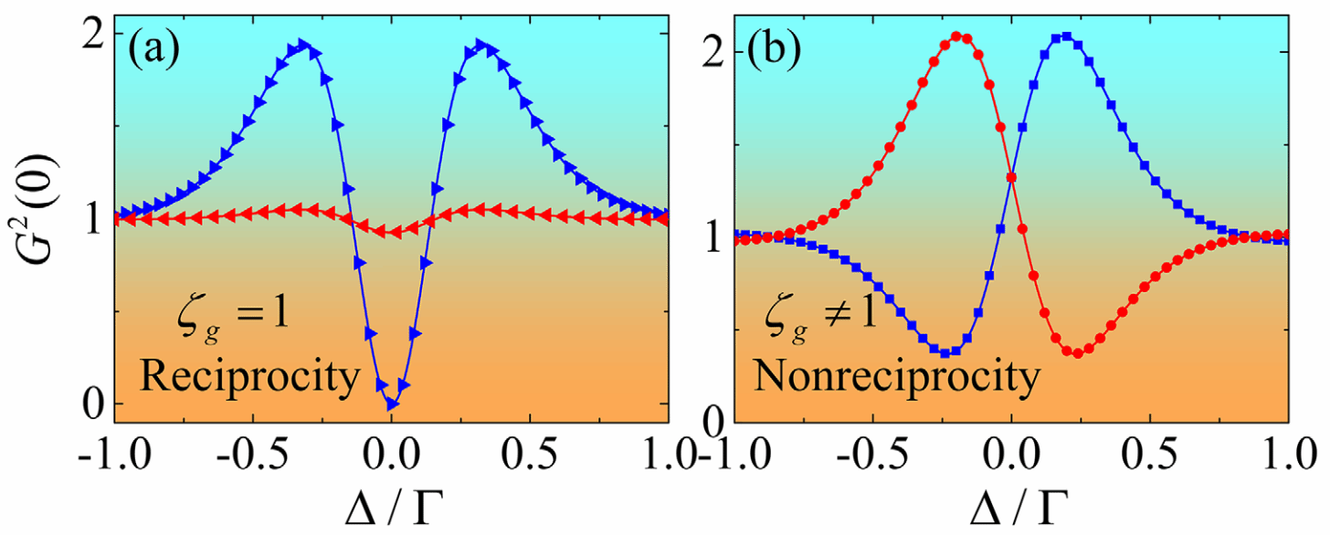
成果(一):非互易器件能够操控单向信号,对量子信息处理和量子网络至关重要。本文提出了一种非线性腔-磁振子系统,系统由一个微波腔和一个或两个支持具有Kerr非线性的磁振子钇铁石榴石(YIG)球组成,用于研究非互易的非常规光子阻塞。非互易性起源于方向依赖的Kerr效应,这与之前采用旋转腔和耗散耦合的方案有明显不同。在单球情况下,通过调控正负Kerr系数,可以实现通过非互易破坏性干涉的两条有效路径来实现非互易非常规光子阻塞。通过优化系统参数,可以预测出完美且精确调谐的非互易非常规光子阻塞。在具有相反Kerr效应的两球情况下,当两个腔-磁振子耦合强度和Kerr强度对称时,只能观察到互易非常规光子阻塞。然而,当耦合强度或Kerr强度不对称时,会出现非互易非常规光子阻塞。这意味着双球非线性腔-磁振子系统可以用于切换互易和非互易非常规光子阻塞的转变。这项研究为在非线性腔磁子学中研究非互易光子阻塞效应提供了一个潜在平台。


论文以“Nonreciprocal unconventional photon blockade with Kerr magnons”为题发表在Advanced Quantum Technologies上并被ASN China AdvancedScienceNews报道。论文第一作者为2022级物研樊晓红同学,3044永利熊伟副教授和湖北师范大学李海超副教授为论文共同通讯作者。本研究在国家自然科学基金和浙江省自然科学基金共同资助下完成。
论文链接:https://onlinelibrary.wiley.com/doi/10.1002/qute.202400043
报道链接:https://mp.weixin.qq.com/s/tjOLKd-FDTmhOHZe8NfFcw
成果(二):腔磁力学在研究宏观量子效应方面显示出巨大潜力,特别是量子纠缠,这是一种量子信息科学的重要资源。熊伟副教授与安徽大学叶柳教授课题组合作,提出实现一种由磁子介导的非互易光子-声子纠缠。当分别将相反的磁场或驱动场应用于具有Kerr效应的磁子或具有Sagnac效应的光子时,这种纠缠表现出不对称性。我们发现,随着腔体上强驱动场的强度变化,平均磁子数可以选择性地表现出非互易的线性或非线性(双稳态)行为。在这种驱动场的辅助下,磁子-声子耦合被大大增强,通过磁子与光子之间的交换作用,导致非互易的光子-声子纠缠。这种非互易纠缠可以通过磁子Kerr效应和Sagnac效应显著增强。根据可用的参数,非互易光子-声子纠缠可以在约3K的温度下保持,显示出对环境温度较强的鲁棒性。结果表明,我们的方案在开发具有磁子Kerr效应和Sagnac效应的各种非互易器件方面具有很大潜力。

论文以“Nonreciprocal photon-phonon entanglement in Kerr-modified spinning cavity magnomechanics”为题发表在美国物理学会旗下的Physical Review A上。论文第一作者为安徽大学陈姣姣博士,3044永利熊伟副教授和安徽大学叶柳教授为论文共同通讯作者。本研究在国家自然科学基金和浙江省自然科学基金共同资助下完成。
论文DOI:10.1103/PhysRevA.109.043512




