科研成果
公司熊伟博士课题组在非厄米高阶奇异点研究上取得进展
来源:3044永利 浏览人数: 发布时间:2022-09-29
由于非厄米系统中的高阶奇异点(EP)在灵敏度提高以及拓扑特性上具有显著的优势,所以长期以来一直备受关注。然而,目前实现该类奇异点仍然存在困难,主要是因为相对二阶奇异点来说它需要系统具有更好的参数可调性。
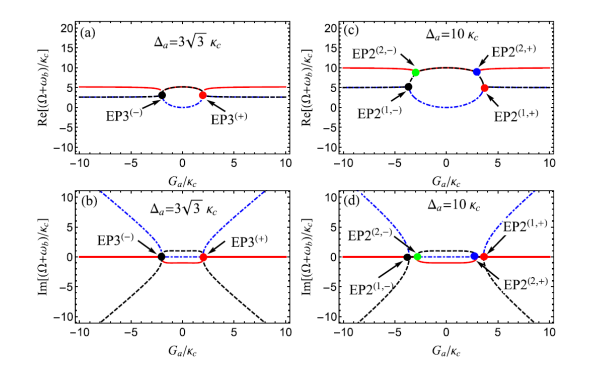
有一面可移动的平面镜和一面固定的平面镜构成的光力系统已经展现了其强大的可调谐性。为此,熊伟博士提出利用三模光力系统来实现这类高阶奇异点,并同时观测到多个二阶奇异点。非厄米的三模光力系统是通过考虑光力系统与周围环境作用形成的等效系统。熊伟博士发现当系统中的增益和损耗匹配的同时,其它系统参数满足推导出来的赝厄米条件时,该三模光力系统的三个本征值在特定点处可以简并且为实数,即为三阶奇异点。进一步通过改变系统参数,熊伟博士发现三阶奇异点会退化到二阶奇异点,即只有两个本征值在特定点处简并为实数。该方案的提出为理论研究和实验实现更高阶奇异点问题提供了潜在的途径。
该工作于2022年9月27日在线发表在理论物理国际主流期刊Phy. Rev. A上【Wei Xiong, Zhuanxia Li, Guo-Qiang Zhang, Mingfeng Wang, Hai-Chao Li, Xiao-Qing Luo, and Jiaojiao Chen,Higher-order exceptional point in a blue-detuned non-Hermitian cavity optomechanical system, Phys. Rev. A 106, 033518 (2022)】。3044永利熊伟博士为第一作者兼通讯作者,研究生李转霞为第二作者。此项研究得到了国家自然科学基金、安徽省自然科学重点项目和湖南省自然科学基金等支持。


值得一提的是,在2021年12月,熊伟博士就光力系统的高阶奇异点问题已经在Phy. Rev. A上发表了一篇论文【Wei Xiong, Zhuanxia Li, Yiling Song, Jiaojiao Chen, Guo-Qiang Zhang, and Mingfeng Wang,Higher-order exceptional point in a pseudo-Hermitian cavity optomechanical system, Phys. Rev. A 104, 063508 (2021)】,熊伟博士为第一作者,研究生李转霞为第二作者。据谷歌学术统计,目前总引用已达近20次。




