科研成果
杜双博士在计算中子星形变方法上取得进展
来源:3044永利 浏览人数: 发布时间:2022-09-16
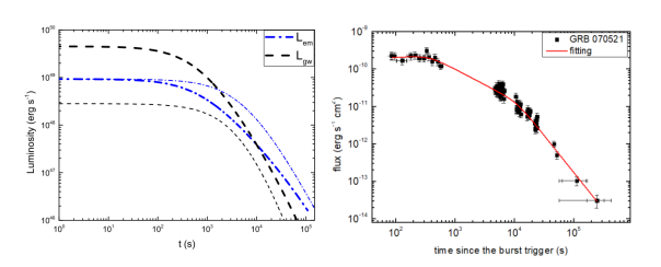
畸变中子星是一类重要的引力波波源,但对这类源的搜索迟迟未能成功。理论上超强磁化、高速转动的中子星(毫秒磁星)更容易产生引力波辐射,但满足这种要求的中子星数量稀少且存在时间很短(银河系内还未发现)。因而通过探测引力波来测量中子星形变量进而约束中子星内部物理的目标无法实现。
注意到拥有特殊X射线余辉的伽马射线暴的中心天体可能是毫秒磁星,3044永利物理系教师杜双、汪卫华与北京大学的林婷婷博士、徐仁新教授,以及南阳师范公司的侯书进教授合作,提出根据引力波辐射对X射线余辉演化的影响和X射线余辉的斜率、时标、流量等可观测量来计算中子星形变量的方法。依据此方法和观测样本,给出了中子星形变量与磁场的关系,并约束中子星内部磁场的结构。审稿人给出较好评价:“The overall introduction to the field and the mathematical formalism adopted by the authors is of high quality. The authors clearly state the limitations of their assumptions and the model...this paper is timely and could potentially make an impact the GRB and the GW communities”。
论文发表在天文学顶尖杂志Astronomy & Astrophysics【IF=6.24,Investigating magnetically induced distortions of neutron stars through gamma-ray burst X-ray plateaus, Tingting Lin, Shuang Du, Weihua Wang, Shujin Hou, Renxin Xu, doi:10.1051/0004-6361/202244174】上。北京大学的林婷婷博士为第一作者,杜双博士为唯一通讯作者。研究受到中国SKA项目、国家重点研发项目、中科院重点研发项目的支持。





